• Предмет: Алгебра
  • Автор: dashanmashan
  • Вопрос задан 2 года назад

Помогите пожалуйста!!!!!!!!!!!!!!!!!!!!
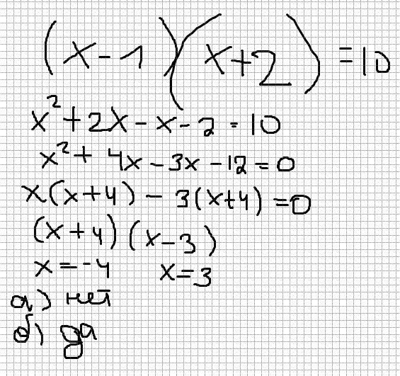
1. Является ли корнем уравнения (x-1)(x+2)=10
а)-2
б)3
2. Решите уравнения:
а)6x-18,6=0
б)3x+1=17-x
в)4x-(7x+5)=10
3. При каком значении переменной -у- значения выражения 6(2-у) равно 27
4. Решите задачу с помощью уравнения.
Одна сторона треугольника в три раза больше другой, а третья на 1 см меньше большей из них. Найдите длину каждой стороны треугольника, если его периметр равен 34 см.


dashanmashan: Напишите пожалуйста с решениями

Ответы

Ответ дал: yanakuleshova0000
0

Ответ:

Объяснение:

2.а)6х-18,6=0

6х=18,6

х=3,1

б) 3х+1=17-х

3х+х=17-1

4х=16

х=4

в) 4х-(7х+5)=10

4х-7х-5=10

-3х-5=10

-3х=10+5

=3х=15

х=-5

Приложения:

dashanmashan: А другие???
Вас заинтересует