• Предмет: Алгебра
  • Автор: vikushenka8
  • Вопрос задан 2 года назад

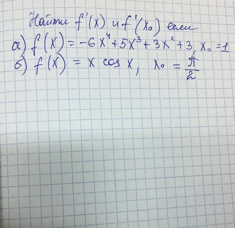
Ребят помогите с производной пожалуйста!!!

Приложения:

Ответы

Ответ дал: getlucky1582
1

Ответ:

a) f'(x) = -24x^3 + 15x^2 +6x , f'(x_{0}) = -24 * 1^3 + 15 * 1^2 +6 * 1 = - 3;

б) f'(x) = -xsin(x) + cos(x) , f'(x_{0}) = -\frac{\pi}{2} * sin(\frac{\pi}{2}) + cos(\frac{\pi}{2}) = -\frac{\pi}{2} * 1 + 0 = -\frac{\pi}{2}

Объяснение:

Вас заинтересует