СРОЧНО!! Помогите пожалуйста решить номер... 612,613,614,555 СРОЧНО ПОЖАЛУЙСТА!!!!!!!
Приложения:
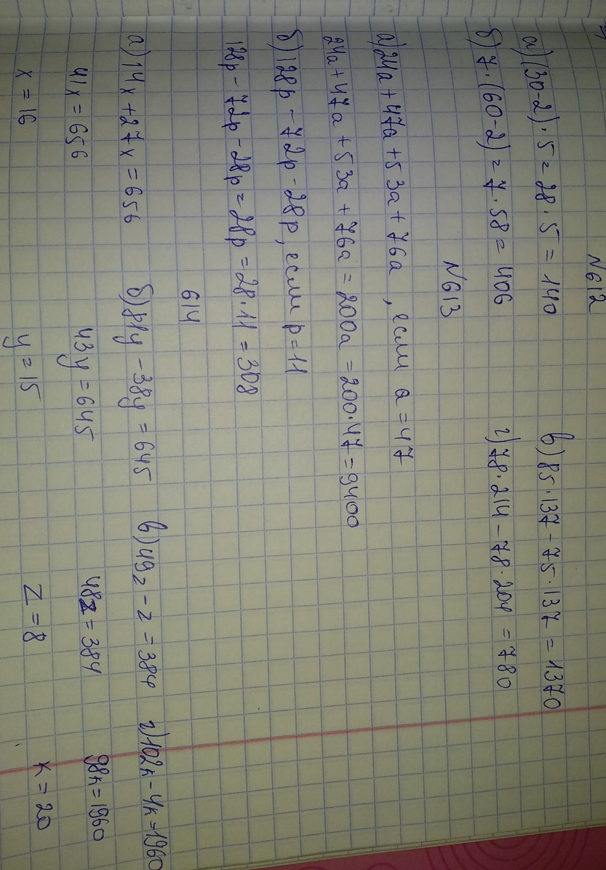
Ответы
Ответ дал:
2
555,не решала
…………………………………………
Приложения:
Вас заинтересует
2 года назад
2 года назад
2 года назад
2 года назад
3 года назад
3 года назад
9 лет назад