Ответы
Ответ дал:
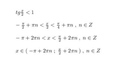
1
Приложения:


xkxoxojd:
какой ответ в итоге?
Вас заинтересует
1 год назад
1 год назад
3 года назад
3 года назад
8 лет назад
8 лет назад