• Предмет: Алгебра
  • Автор: киса711
  • Вопрос задан 2 года назад

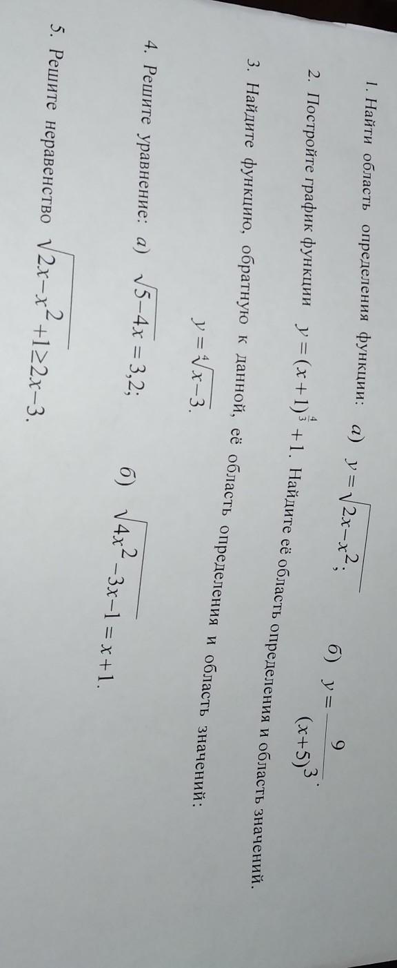
УМОЛЯЮ, решите хоть что-нибудь из этого. Алгебра 10 кл​

Приложения:

Ответы

Ответ дал: rahmatulloevanozima
1

Ответ:

(√5−4x)2=(3.2)2

5−4x=10.24

−4x=10.24−5

Разделим каждый член в выражении

−4x=5.24 на −4.

Сократить общий множитель

−4x−4=5.24−4 Делим x на 1.x=5.24−4

Делим 5.24 на −4.x=−1.31−4x−4=5.24−4

Ответ дал: m11m
1

Ответ:

Объяснение:

!!!!!!!!!!!!!!!!!!!!!!!!!!!

Приложения:
Вас заинтересует