• Предмет: Математика
  • Автор: Аноним
  • Вопрос задан 2 года назад

Решите уравнение пожалуйста
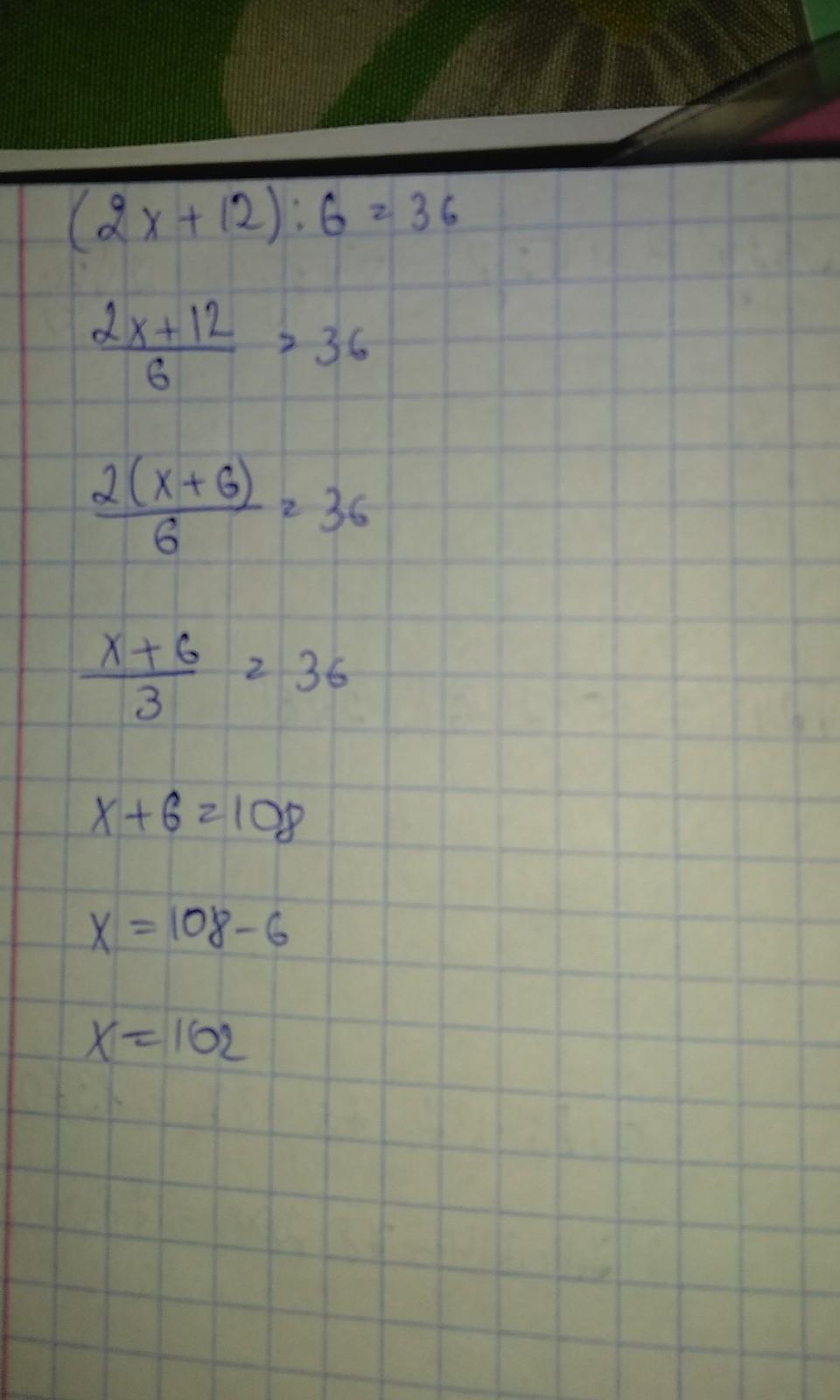
(2m+12):6=36
Подскажите пожалуйста СРОЧНО((((((

Ответы

Ответ дал: Аноним
1

Ответ:

(2m+12):6=36

2m+12=36•6

2m+12= 216

2m=216-12

2m=204

m=204:2

m=102


Аноним: Спасибо большое
Ответ дал: yana007jd
1

Пошаговое объяснение:

……………………………………………………

Приложения:

Аноним: Спасибо большое
Вас заинтересует