• Предмет: Алгебра
  • Автор: alwayas228
  • Вопрос задан 2 года назад

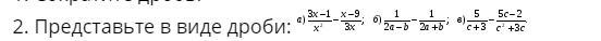
Помогите решить пример:

Приложения:

Ответы

Ответ дал: 1canhelpyou
1

Ответ:

надеюсь, что поймёте решения примеров

Приложения:
Вас заинтересует