Ребят помогите пожалуйста
danilaSADev:
а с чем помочь надо то?
6) (x + 4)2(2x – 1) > 0;
Ответы
Ответ дал:
1
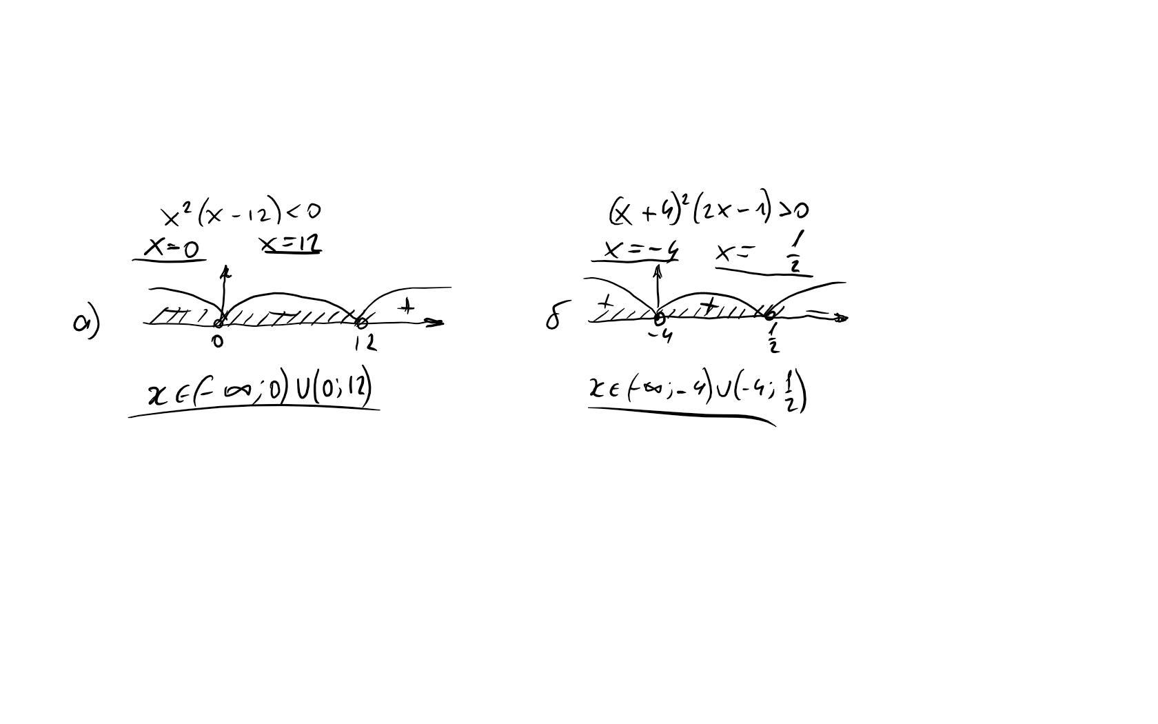
Ответ:
a) x2(x – 12) < 0;
6) (x + 4)2(2x – 1) > 0
Объяснение:
Приложения:

Вас заинтересует
1 год назад
1 год назад
3 года назад
3 года назад