Ответы
Ответ дал:
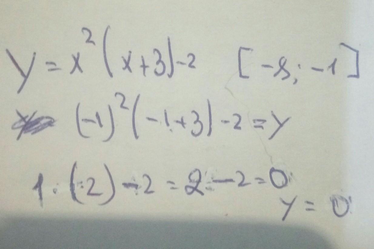
0
Ответ:
наибольшее значение y будет равно 0
Приложения:

Вас заинтересует
1 год назад
3 года назад