• Предмет: Алгебра
  • Автор: irinaoms
  • Вопрос задан 2 года назад

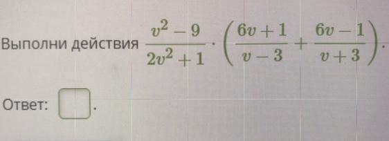
Выполни действия. Помогите!

Приложения:

Ответы

Ответ дал: parfenuktimofij
0

Ответ:

6u² + 9

______

    2

Вас заинтересует