• Предмет: Алгебра
  • Автор: lordtenohf
  • Вопрос задан 2 года назад

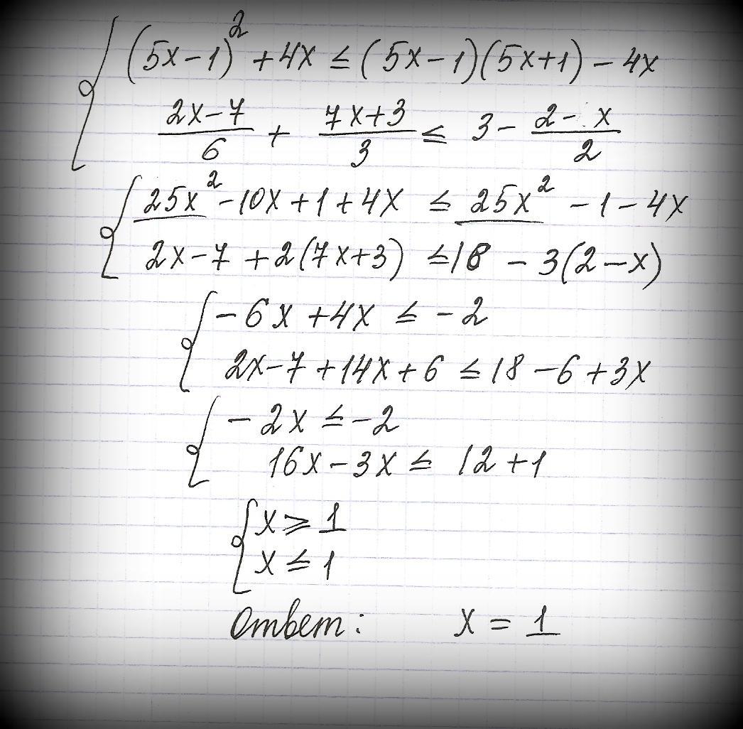
Решите систему неравенств:
(смотрите вложение)

Приложения:

Ответы

Ответ дал: wenator
2

Ответ:

см. вложение

Объяснение:

Приложения:

hhaha14: помогите пожалуйста мне по математике
wenator: с чем?
marina789883: помогите пожалуйста с алгеброй. Напиши мне в личные сообщения. Спасибо!
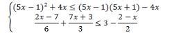
Ответ дал: tamarabernukho
3

Ответ:

x=1

Объяснение:

Приложения:

marina789883: помогите пожалуйста с алгеброй. Напиши мне в личные сообщения. Спасибо!
Вас заинтересует