• Предмет: Алгебра
  • Автор: NataSwag
  • Вопрос задан 11 лет назад

Упростите. Помогите!
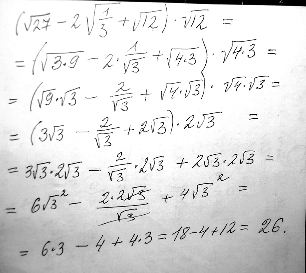
( sqrt{27} -2 sqrt{ frac{1}{3}} + sqrt{12} ) * sqrt{12}

Ответы

Ответ дал: GREENDEY
0
Решение во вложенном файле. 
Приложения:
Вас заинтересует