Ответы
Ответ дал:
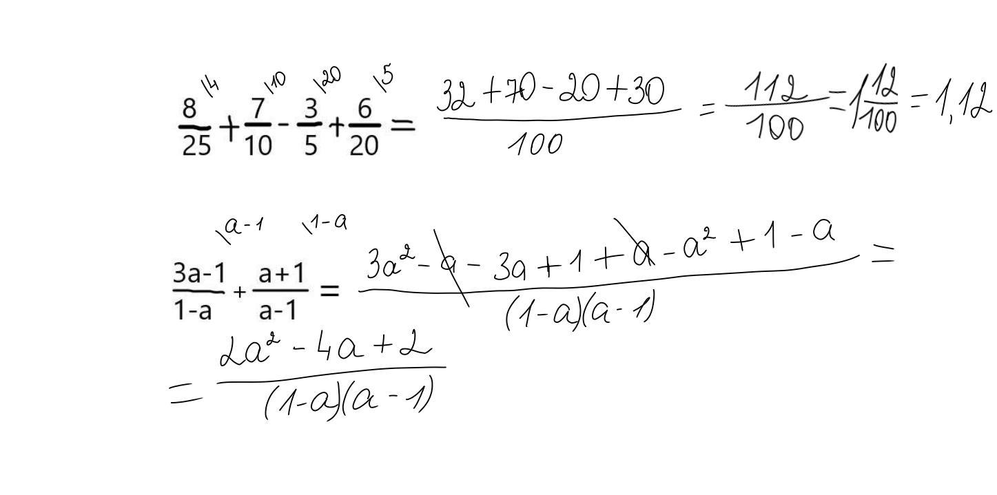
0
Не могу дать 100%, что правильно.
Приложения:

Аноним:
ммда млдц получил(a) 15 баллов за не правильно
Вас заинтересует
1 год назад
1 год назад
1 год назад
1 год назад
3 года назад
3 года назад
8 лет назад