Ответы
Ответ дал:
0
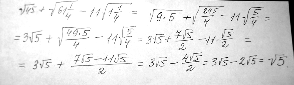
Решение во вложении,
Приложения:

Ответ дал:
0
спасибо,у меня тоже так получилось,боялась,что запуталась
Ответ дал:
0
КРУТО !
Вас заинтересует
2 года назад
2 года назад
8 лет назад
8 лет назад
10 лет назад
10 лет назад
10 лет назад
10 лет назад