• Предмет: Математика
  • Автор: fantom2159
  • Вопрос задан 2 года назад

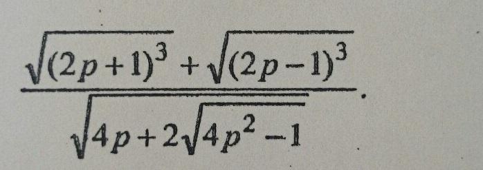
Помогите решить,срочно (30 баллов),если можно подробно

Приложения:

Ответы

Ответ дал: RomeoCapone
0

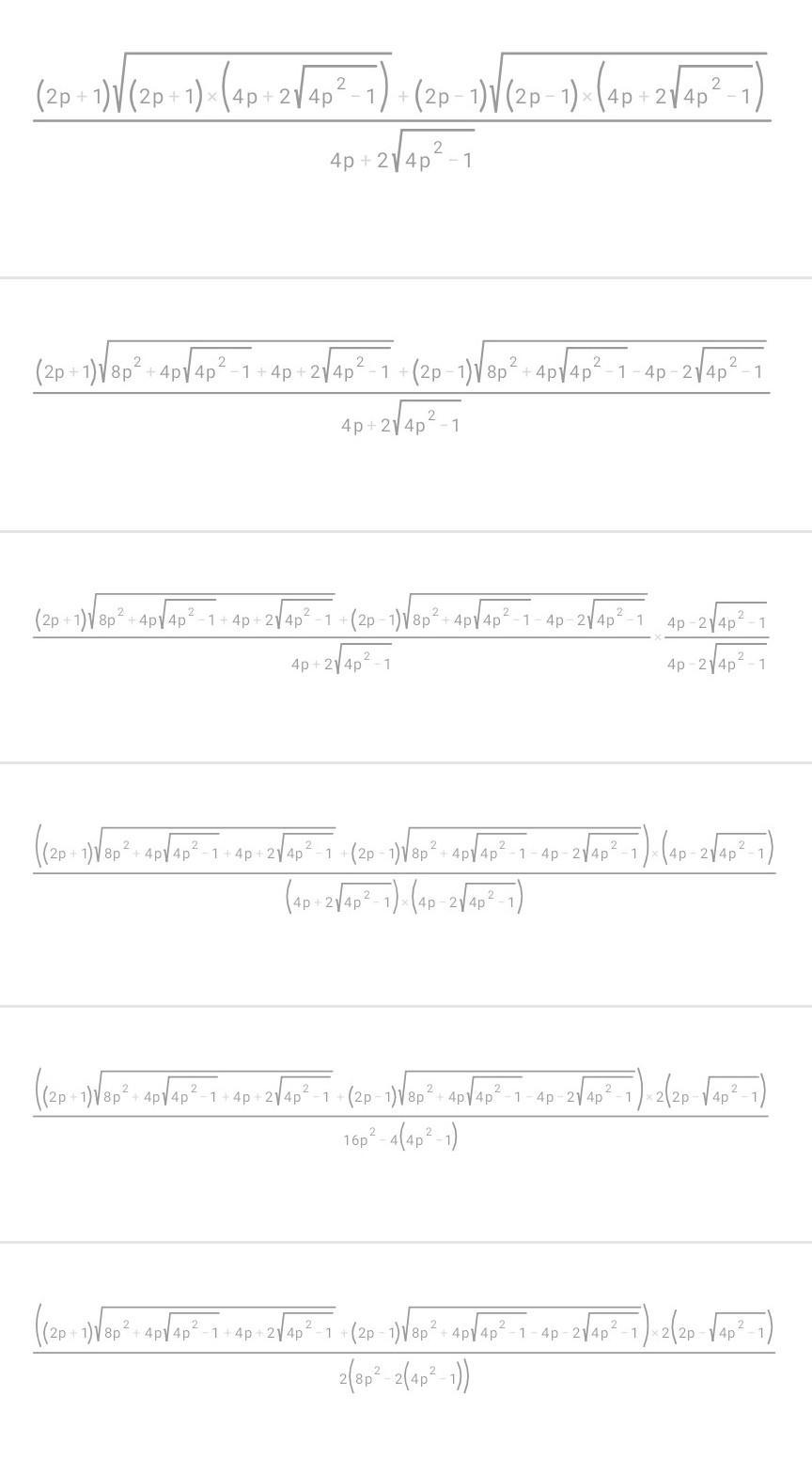
Ответ:

Решение можно наблюдать на фотографии.

Приложения:
Вас заинтересует