• Предмет: Алгебра
  • Автор: Nastya171167
  • Вопрос задан 2 года назад

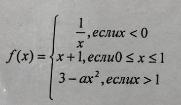
Помогите исследовать функцию на непрерывность. найти, при каком значении параметра '' a '' функция будет непрерывна в точке. сделать схематично чертеж функции

Приложения:

Ответы

Ответ дал: xxxeol
4

Объяснение:

Задача 1.

1) f(x) = = 1/x

2) f(x) = x+1 при  0 ≤ х ≤ 1

3) f(x) =3 - a*x² при x > 1.

Вычисляем вторую функцию при Х=1

f(1) = x+1 = 1+1 = 2 - конец второго участка.

В него надо попасть третьим участком функции.

f(1) = 3 - a*1² = 2

a = 3 - 2 = 1 - коэффициент - ответ.

Рисунок с графиком в приложении.

Задача 2.

F₂(1) = 1/1 = 1 - конец второго участка.

Он должен совпадать с началом третьего участка.

F₃(1) = a*x² = a * 1² = 1

a = 1 - коэффициент - ответ.

Рисунок к задаче в приложении.

Приложения:

Nastya171167: СПАСИБО ОГРОМНОЕ
effektnui: https://znanija.com/task/33210438 помогите пожалуйста,если не трудно
Вас заинтересует