• Предмет: Физика
  • Автор: seytkojoevaf4
  • Вопрос задан 2 года назад

Помогите пожалуйста. Какая будет формула?​

Приложения:

Fuzuka: В чем вопрос задачи? Найти ускорение?
seytkojoevaf4: да
Fuzuka: Вот формула ускорения.
seytkojoevaf4: тут есть другая формула указанный на фотке. мм нужно найти ускорение изменив формулу
Fuzuka: Изменил, пошагово расписать?
seytkojoevaf4: если можно да
Fuzuka: Сейчас.
seytkojoevaf4: спасибо
Fuzuka: Вот так.

Ответы

Ответ дал: Fuzuka
1

Ответ:

Ну если тебе нужна формула ускорения, то вот: a=V-V0/t

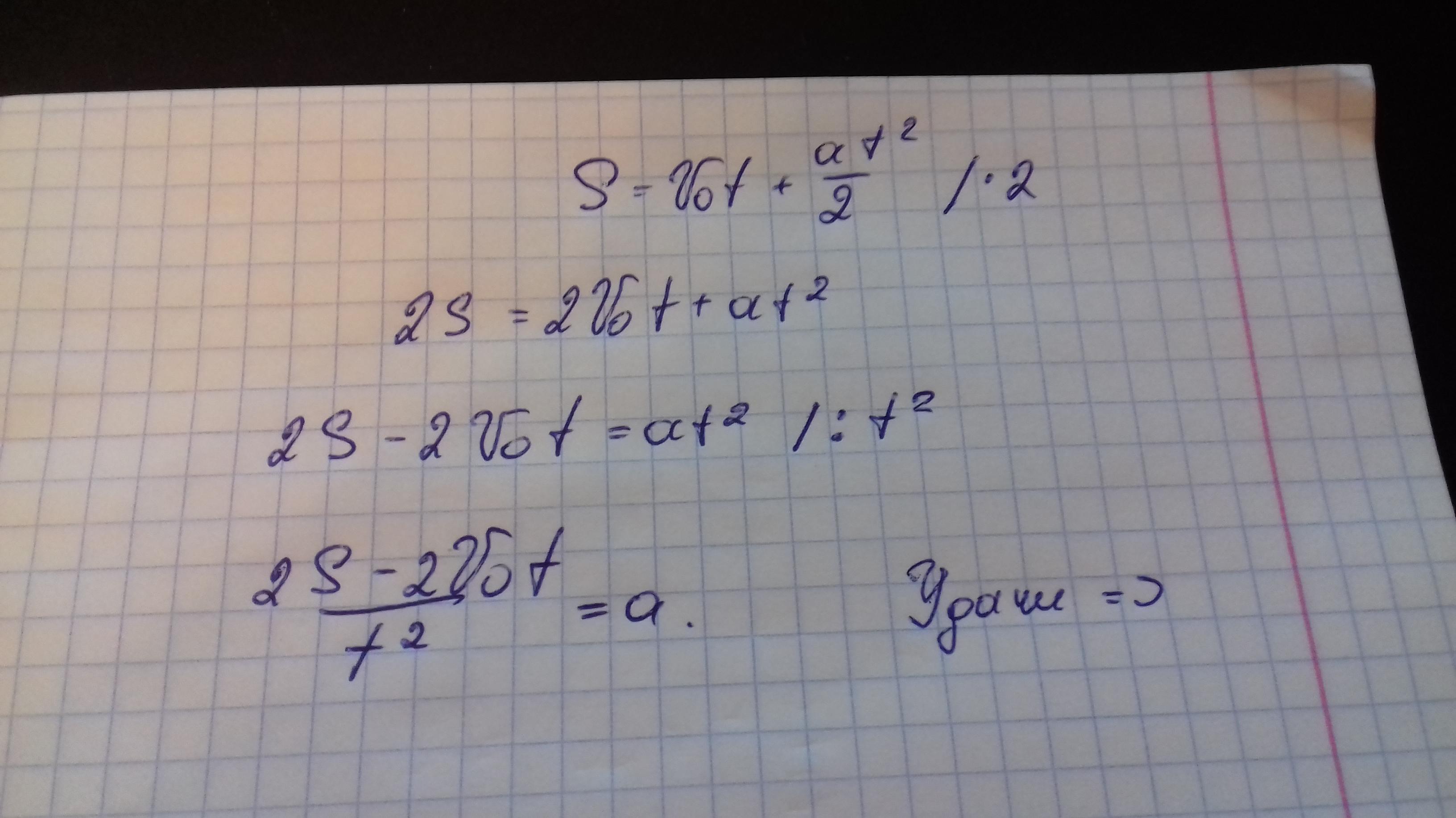
Если надо выразить ускорение из формулы на картинке, то вот:

a=2S-2V0t/t^2

Приложения:
Вас заинтересует