• Предмет: Математика
  • Автор: rawineceh
  • Вопрос задан 2 года назад

Решите,пожалуйста.

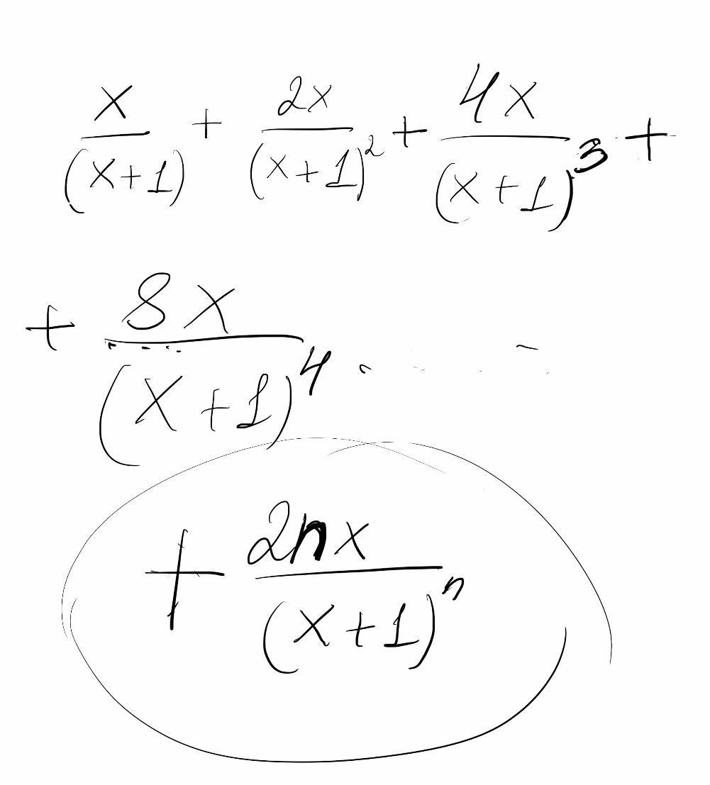
Выясните, выполняется ли необходимое условие сходимости ряда(пример который нужно выяснить на фото).Составьте формулу общего члена ряда.

Решение нужно срочно и подробно.

Буду очень благодарен !

Приложения:

Ответы

Ответ дал: Mathcat
2

Ответ:

Выходит что то подобное. Если подставить  вместо х двойку, то все выходит правильно

Пошаговое объяснение:

Приложения:

Mathcat: Это была пытка
rawineceh: на 2 курсе тяжко
rawineceh: страшно представить сто на 3 и 4 будет
rawineceh: что*
Mathcat: Теория вероятности! Аааа
Mathcat: хотя есть и легкие предметы
Mathcat: Одна жуть сменяется на другую. Главное чтоб преподы были добрыми
rawineceh: Ага
rawineceh: Ладушки пойду оформлять лист и писать
Mathcat: Удачи!
Вас заинтересует