Ответы
Ответ дал:
1
Ответ:
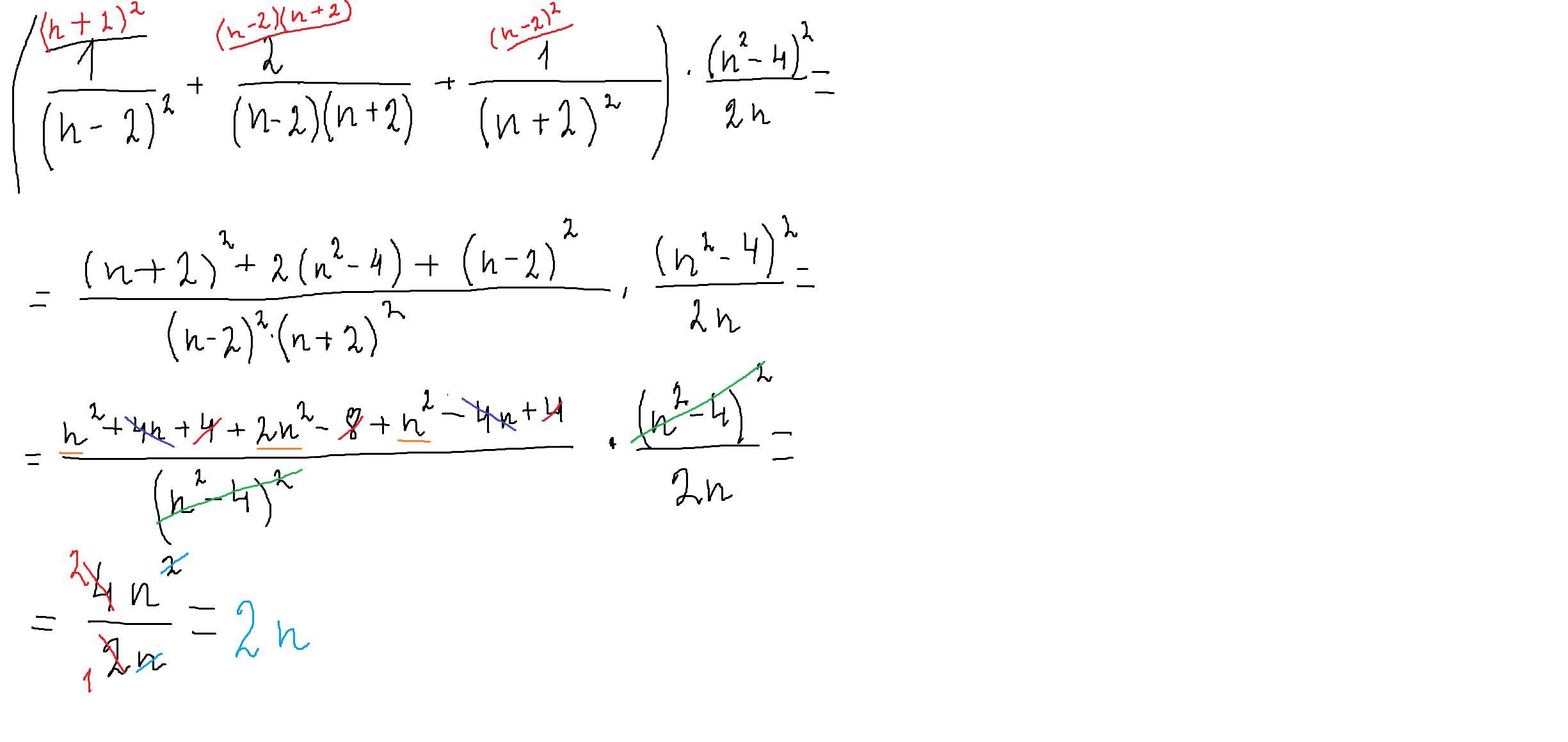
Объяснение: делаем преобразования в левой части до тех пор,пока не получим правую часть.Нужно использовать формулы сокращенного умножения.
Приложения:

Вас заинтересует
1 год назад
1 год назад
1 год назад
1 год назад
3 года назад
8 лет назад
8 лет назад