• Предмет: Математика
  • Автор: Darksilver12
  • Вопрос задан 2 года назад

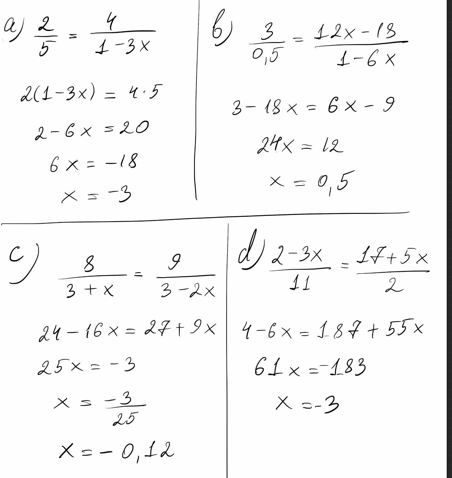
Решите уравнения номер 6 ПЛИИИЗЗЗЗ

Приложения:

Ответы

Ответ дал: Mathcat
0

Ответ:

Пошаговое объяснение:

Приложения:
Ответ дал: amangeldyy03
0

Ответ:

а) 2(1-3x)=4×5

2-6x=20

-6x=20-2

-6x=18

-x=3

x=-3

Вас заинтересует