• Предмет: Математика
  • Автор: JulianneSmile1
  • Вопрос задан 2 года назад

Помогите решить, пожалуйста. Буду очень признателен.

Приложения:

Ответы

Ответ дал: Mathcat
0

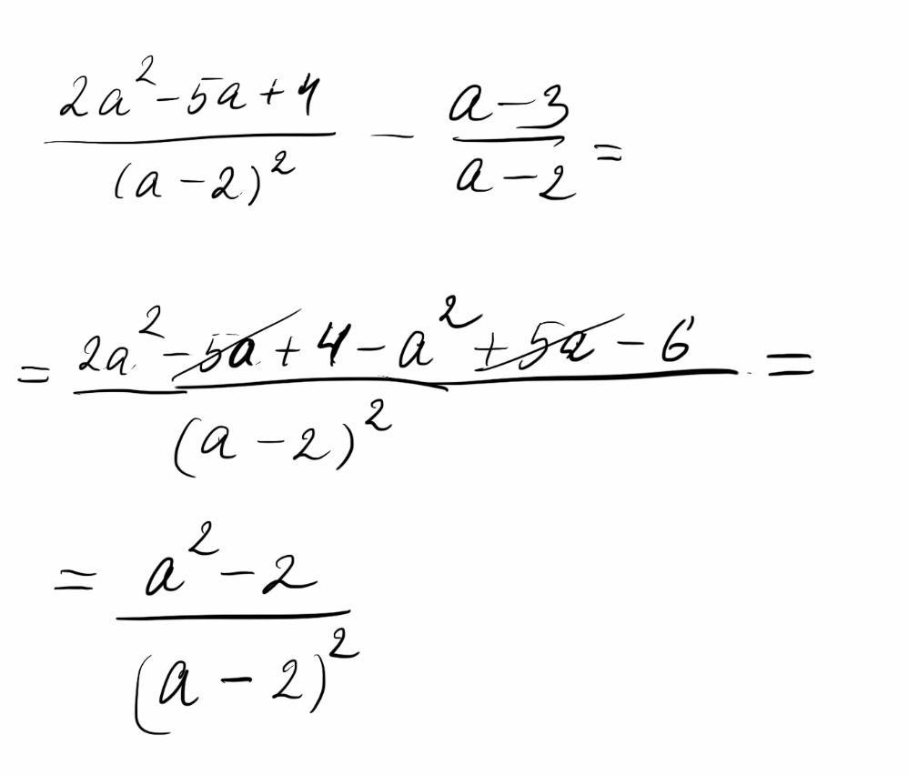
Ответ:

Пошаговое объяснение:

Приложения:
Вас заинтересует