• Предмет: Математика
  • Автор: kakashka1234588
  • Вопрос задан 2 года назад

Решите уравнение, пожалуйста.

Приложения:

Ответы

Ответ дал: mmb1
0

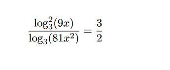
log(3)^2 9x / log(3) 81x^2 = 3/2

x>0 x≠+-1/9

2log(3)^2 9x = 3log(3) (9x)^2

2log(3)^2 9x = 6 log(3) 9x

2log(3)^2 9x - 6 log(3) 9x = 0

2log(3) 9x ( log(3) 9x - 3) = 0

log(3) 9x = 0

x=1/9 не корень

log(3) 9x = 3

9x = 3^3

x = 3

ответ х=3  


kakashka1234588: 2log(3) 9x ( log(3) 9x - 3) = 0 можете пояснить как эта строчка получается, не особо понимаю
mmb1: за скобку вынесли 2log(3) 9x
kakashka1234588: Вижу. Невнимательность - мое второе имя. Спасибо огромное
Вас заинтересует