• Предмет: Алгебра
  • Автор: zushdhdhsh
  • Вопрос задан 2 года назад

Помогите пожалуйста даю 40 балов ​

Приложения:

Ответы

Ответ дал: BlazeBTM
1

Ответ:

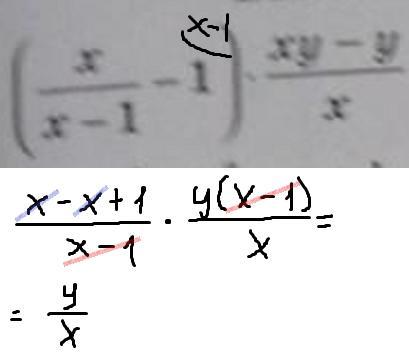
( \frac{x}{x - 1}  - 1) \times  \frac{xy - y}{x}  = \frac{x - x + 1}{x - 1}  \times  \frac{xy - y}{x}  =  \frac{1}{x - 1}  \times  \frac{y(x - 1)}{x}  =  \frac{y}{x}

Ответ дал: lakOR555
0

Ответ:

Объяснение:

выполни действия

Приложения:
Вас заинтересует