Ответы
                                            Ответ дал: 
                                                                                    
                                        
                                            
                                                
                                                
                                                
                                                    1
                                                
                                            
                                        
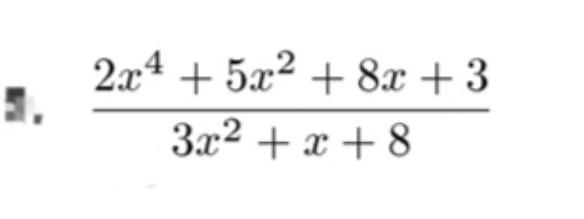
                                    Ответ: (2/3)*x²-(2/9)*x-1/27
Объяснение:
Приложения:
                    
                            
                    Vovan1191:
                    Спасибо огромное!)
                
            
                    
                    В ответе запиши предпоследнюю строку
                
            
                    
                    Хорошо) ... Я правильно понимаю, там 265 написано?
                
            
                    
                    Да, 265х
                
            
                    
                    Ок
                
            Вас заинтересует
                
                        1 год назад
                    
                
                        1 год назад
                    
                
                        1 год назад
                    
                
                        3 года назад
                    
                
                        3 года назад
                    
                
                        8 лет назад
                    
                
                        8 лет назад