• Предмет: Математика
  • Автор: MenPelmen
  • Вопрос задан 2 года назад

Вычислить пределы с помощью таблицы производных:
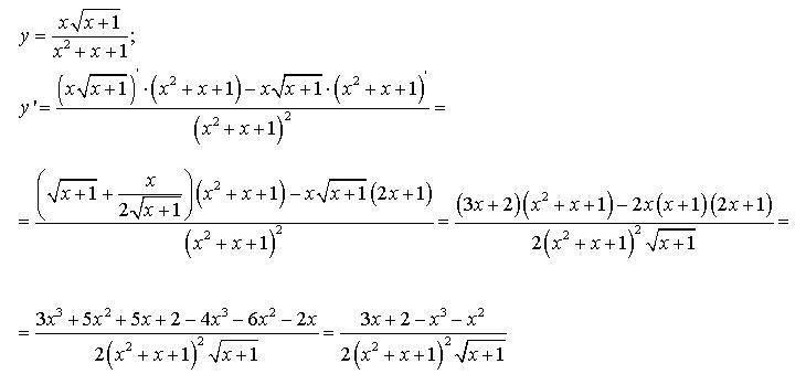
\bf 1.\ y=\dfrac{x\sqrt{x+1} }{x^2+x+1} \\\\2.\ y=\dfrac{tg(x)\cdot arccos(x)}{e^{-3x+6}-3ln(2x+4)}


MenPelmen: производные, а не пределы
MenPelmen: второй не надо!!!

Ответы

Ответ дал: Аноним
2

Ответ:................

Пошаговое объяснение:

Приложения:
Вас заинтересует