• Предмет: Алгебра
  • Автор: AsA95
  • Вопрос задан 11 лет назад

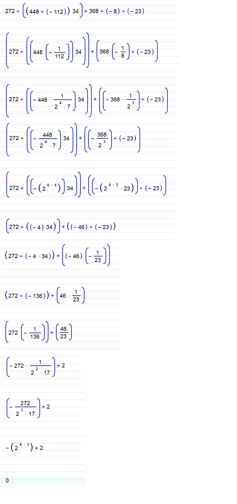
272:(448:(-112)*34)    -368:(-8):(-23)   решите по деиствием пожалуиста)

Ответы

Ответ дал: milasuper1999
0
ОТвет: 0

С уважением Мила
Приложения:
Ответ дал: tli
0
1)448:(-112)=-4
2)-4*34=-136
3)272:(-136)=-2

1)-368:(-8)=46
2)46:(-23)=-2
Приложения:
Вас заинтересует