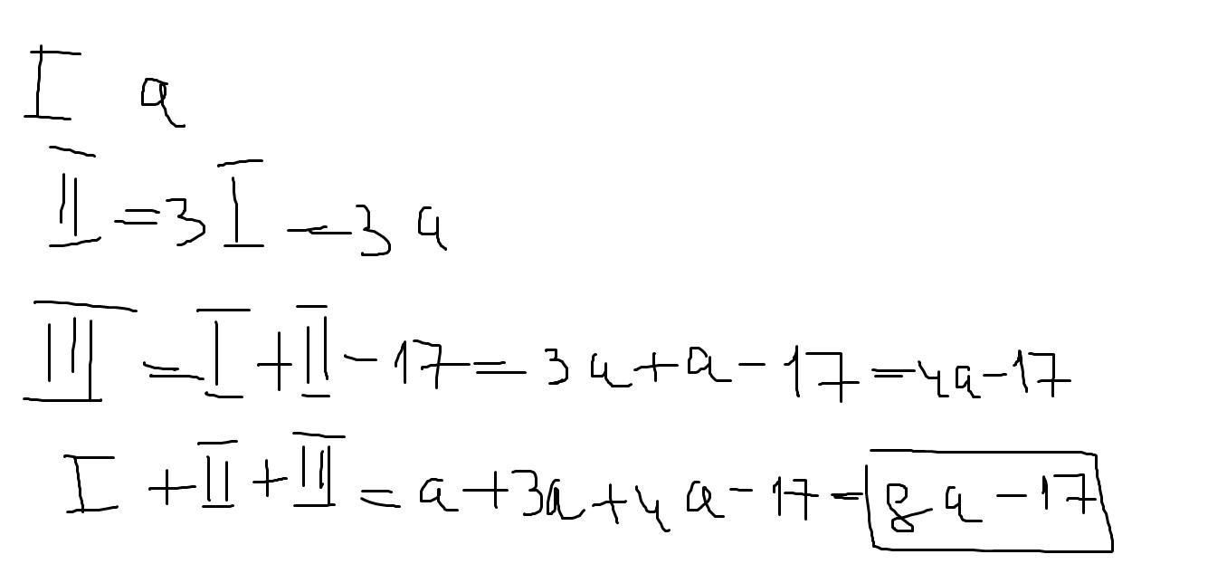
На першій полиці стоїть а книжок, на другій – утричі більше, ніж на першій, а на третій – на 17 книжок менше, ніж на першій і другій полицях разом. Запишіть у вигляді виразу кількість книжок на трьох полицях разом.
Ответы
Ответ дал:
27
Ответ:
Объяснение:
вот
Приложения:

Вас заинтересует
1 год назад
1 год назад
1 год назад
1 год назад
3 года назад
8 лет назад
8 лет назад