• Предмет: Алгебра
  • Автор: Shir25
  • Вопрос задан 2 года назад

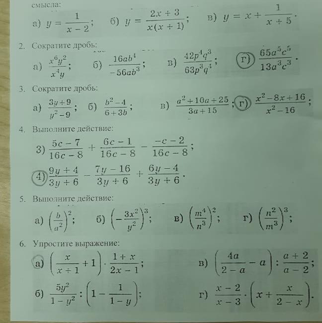
Решите срочно все сио в кружочках буду благодарен

Приложения:

Ответы

Ответ дал: alesyaperova
0

Ответ:

2.Г)

 \frac{65 {a}^{5}  {c}^{5} }{13 {a}^{3} {c}^{3}  }  = 5 {a}^{2}  {c}^{2}

3.Г)

 \frac{(x - 4) {}^{2} }{(x - 4)(x + 4)}  =  \frac{x - 4}{x + 4}

4.

 \frac{9y + 4 - 7y + 16 + 6y - 4}{3y + 6}  =  \frac{8y + 16}{3y + 6}  =

 =  \frac{8(y + 2)}{3(y + 2)}  =  \frac{8}{3}  = 2 \frac{2}{3}

6.

а)

1) \frac{x}{x + 1}  + 1 =  \frac{x + x + 1}{x + 1}  =  \frac{2x + 1}{x + 1}

2) \frac{2x + 1}{x + 1}  \times  \frac{1 + x}{2x - 1}  =  \frac{2x + 1}{2x - 1}

Вас заинтересует