ПАЦАНЫ ОЧЕНЬ ПЛИЗЗЗЗЗЗЗЗЗЗЗЗЗЗЗЗЗЗЗЗЗЗЗЗЗЗ
ПАЦАНЫ ОЧЕНЬ ПЛИЗЗЗЗЗЗЗЗЗЗЗЗЗЗЗЗЗЗЗЗЗЗЗЗЗЗ
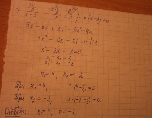
1. 5/X-3 - 8/X=3 /-ЭТО ПОД ДРОБЬЮ
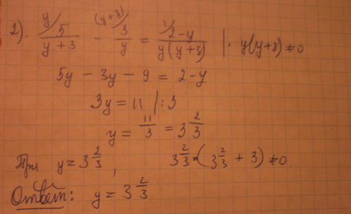
2 5/Y+3 - 3/Y = 2-Y/ Y*2+3Y
ЗА РЕШЕНИЕ ДАЮ ПО 30 ПОИНТОВ
Ответы
Ответ дал:
0
Решение во вложении..............
Приложения:
Ответ дал:
0
1)ОДЗ все числа, кроме 0 и 3
5х-8(х-3)=3х(х-3);
5х-8х+24-3х^2+9х=0;
-3х^2+6х+24=0;
х^2-2х-8=0;
х=-2; х=4
Ответ:-2;4
2)ОДЗ все числа, кроме 0 и -3
общий знаменатель: у(у+3)
5у-3(у+3)=2-у
5у-3у-9-2+у=0
3у-11=0
3у=11
у=11/3
5х-8(х-3)=3х(х-3);
5х-8х+24-3х^2+9х=0;
-3х^2+6х+24=0;
х^2-2х-8=0;
х=-2; х=4
Ответ:-2;4
2)ОДЗ все числа, кроме 0 и -3
общий знаменатель: у(у+3)
5у-3(у+3)=2-у
5у-3у-9-2+у=0
3у-11=0
3у=11
у=11/3
Приложения:
Вас заинтересует
8 лет назад
11 лет назад
11 лет назад
11 лет назад