• Предмет: Алгебра
  • Автор: nailahodyreva
  • Вопрос задан 2 года назад

Раскройте скобки и приведите подобные слагаемые
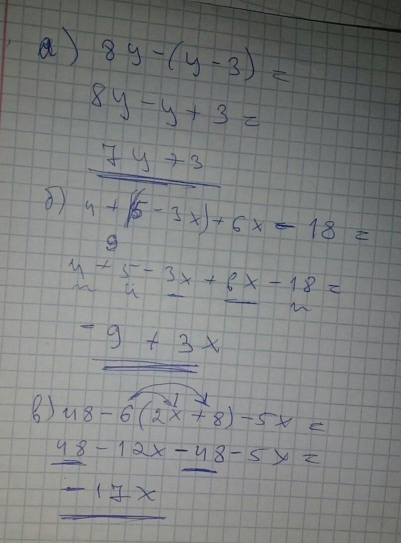
А) 8y-(y-3)
Б) 4+(5-3х)+6х-18
В) 48-6(2х+8)-5х
Очень срочно, пожалуйста

Ответы

Ответ дал: nasibabarnoeva
1

Объяснение:

если при открытие скобок стоит + то скобках открывается со своими знаками

а если стоит - то знаки меняются в противоположность

а если стоит какое либо число то умножаем я на каждое число в скобки

Приложения:

nailahodyreva: А что значитп
nailahodyreva: А чтл значиь подчеркивания
nasibabarnoeva: ответы
nailahodyreva: Подчеркивания
nasibabarnoeva: это ответы
nailahodyreva: Спасибо огромное)
nasibabarnoeva: ок
Вас заинтересует