Ответы
Ответ дал:
0
Ответ:
держи надеюсь что помогла)
Приложения:

Ответ дал:
0
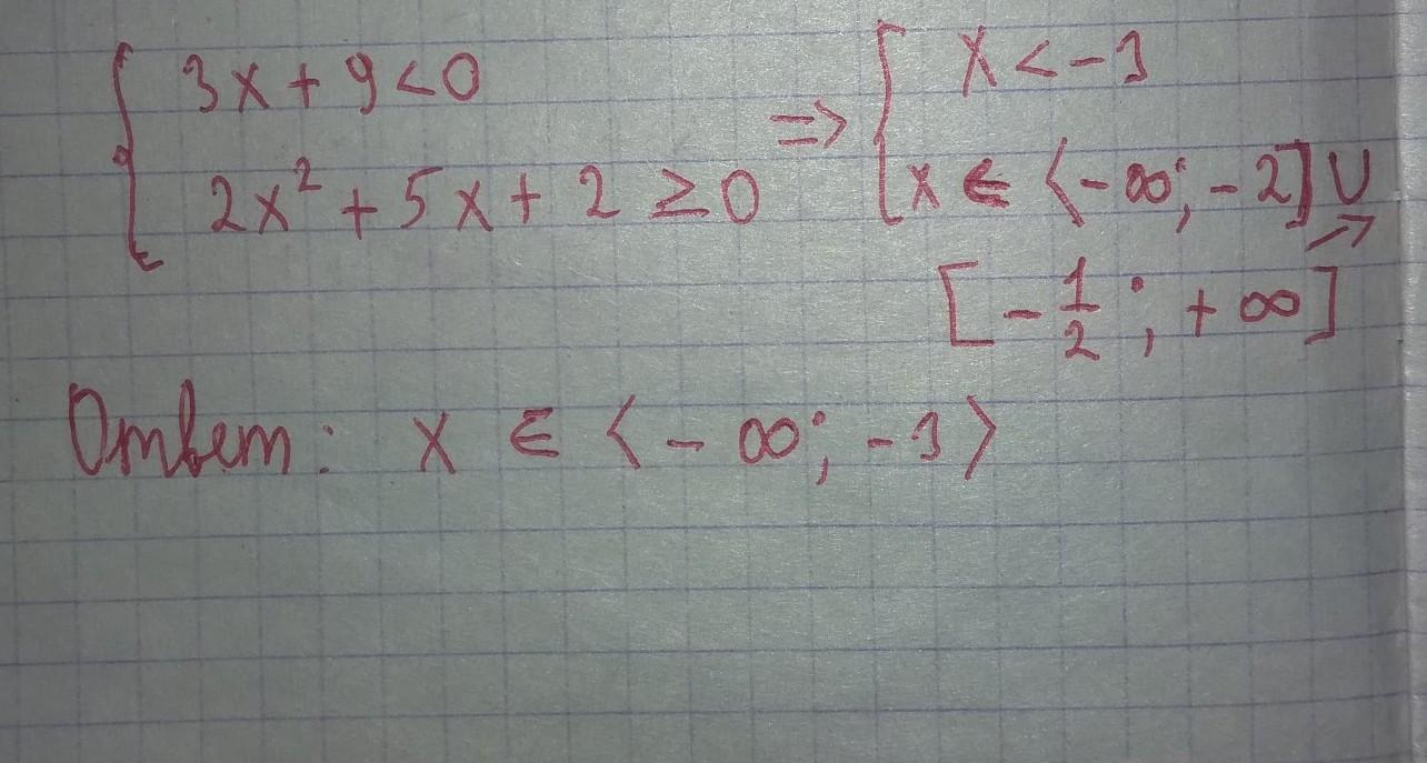
Відповідь:(-∞;-3)
Пояснення:
Приложения:


Вас заинтересует
1 год назад
1 год назад
1 год назад
1 год назад
3 года назад
8 лет назад