Ответы
Ответ дал:
1
Ответ:
625
Объяснение:
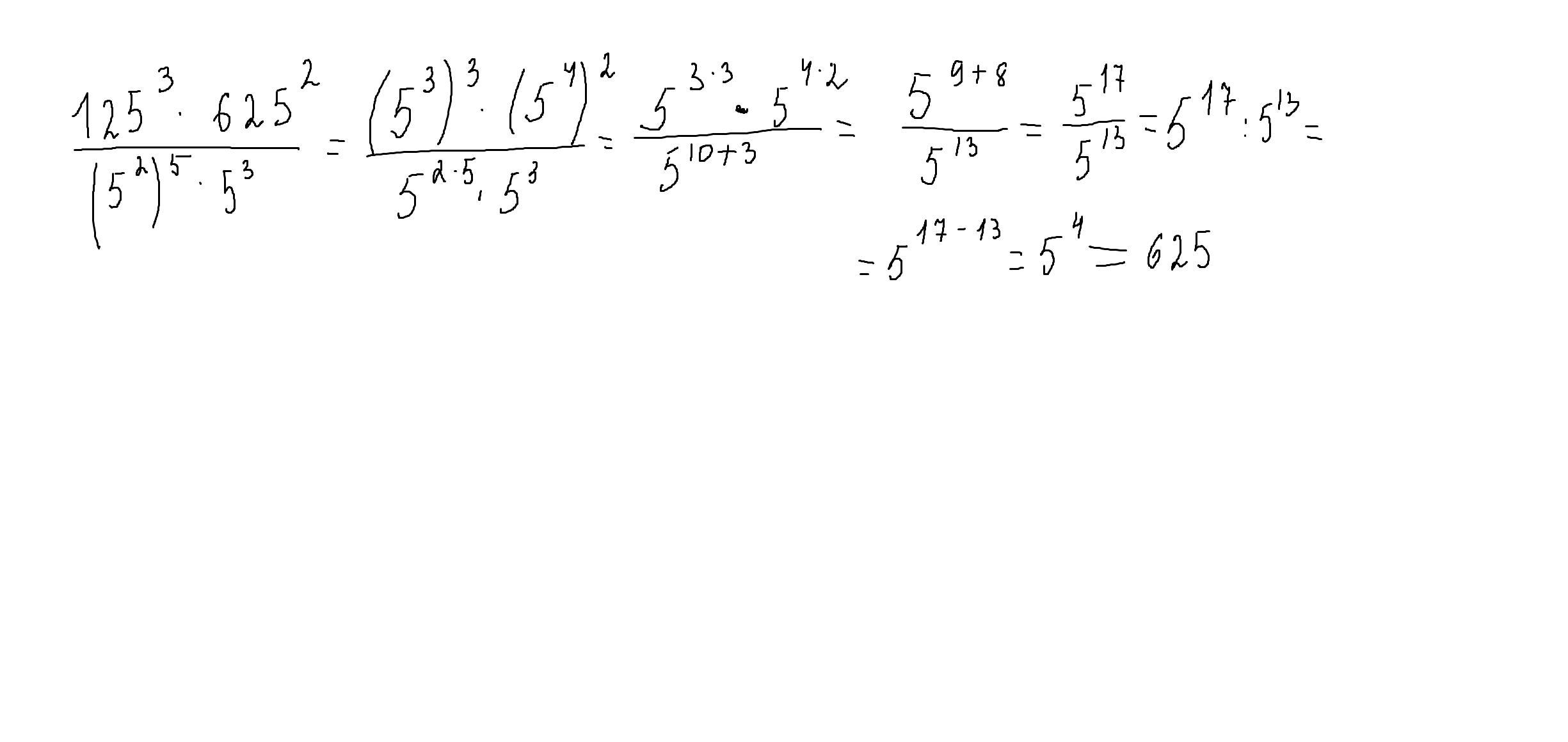
(125^3*625^2)/((5^2)^5*5^3=625
Ответ дал:
1
Пошаговое объяснение:при умножении степеней с одинаковым основанием показатели складываются,при делении-вычитаются,при возведении степени в степень-перемножаются.решение внизу.
Приложения:

Вас заинтересует
1 год назад
1 год назад
3 года назад
3 года назад
8 лет назад