• Предмет: Математика
  • Автор: sexellents
  • Вопрос задан 2 года назад

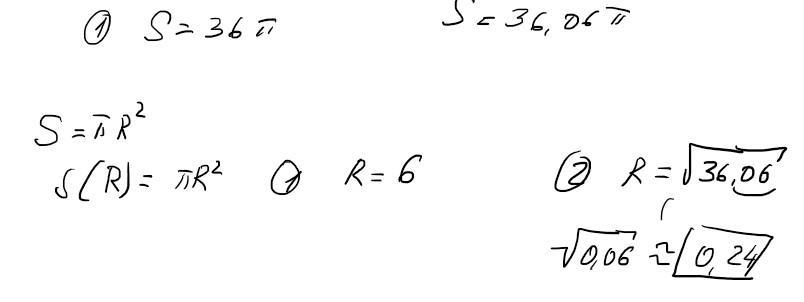
На сколько приблизительно изменится аргумент функции? Круг S(круга)=36П до S(круга)=36.06П

Ответы

Ответ дал: Pitx2
1

Ответ:

Пошаговое объяснение:

Приложения:
Вас заинтересует