Найти расстояние между точками:
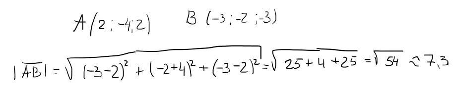
А(2;-4;2)
В(-3;-2;-3)
ПОМОГИТЕ ПОЖАЛУЙСТА!!! ЖЕЛАТЕЛЬНО С РЕШЕНИЕМ. СПАСИБО
Ответы
Ответ дал:
0
Ответ:
Пошаговое объяснение:
Приложения:
Вас заинтересует
2 года назад
2 года назад
2 года назад
3 года назад
3 года назад
9 лет назад
9 лет назад