• Предмет: Алгебра
  • Автор: mrbeka2002
  • Вопрос задан 2 года назад

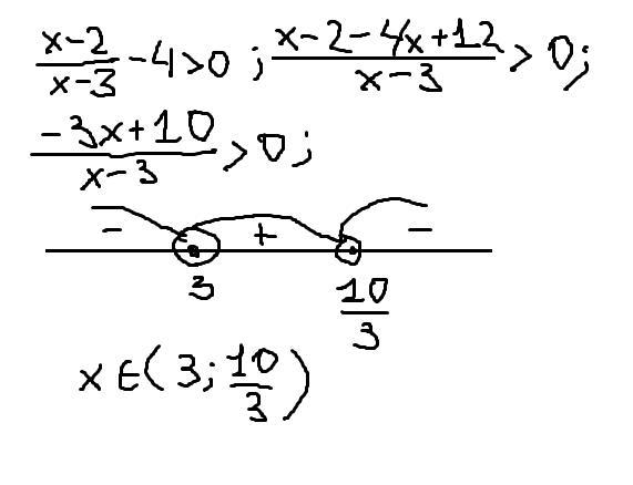
\frac{x-2}{x-3} -4\  \textgreater \ 0 Решите пж

Ответы

Ответ дал: solving05
1

Ответ:

Объяснение:

Решение в приложении

Приложения:
Вас заинтересует