• Предмет: Алгебра
  • Автор: tsnikanovikova
  • Вопрос задан 2 года назад

Объясните, пожалуйста!

Приложения:

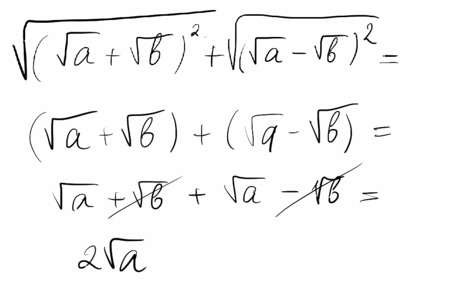
Mathcat: Это выражение чему то равно? Там написано «=« а дальше ничего
tsnikanovikova: Само задание найти ответ. Есть ответы и сам ответ 2 кв. корня b, но я не понимаю почему
Mathcat: я посмотрю что можно сделать
Mathcat: у меня ответ выходит 2 корень из а
tsnikanovikova: У меня тоже
tsnikanovikova: Это задание с экзамена, я нашла ответы, но нет решения
tsnikanovikova: И там ответ 2 корень из b
Mathcat: Если бы между корными бал знак «-« тогда вышло бы. Может ответ неправильный

Ответы

Ответ дал: Mathcat
2

Ответ:

2\sqrt{a}

Объяснение:

Приложения:
Вас заинтересует