• Предмет: Алгебра
  • Автор: noname09011
  • Вопрос задан 2 года назад

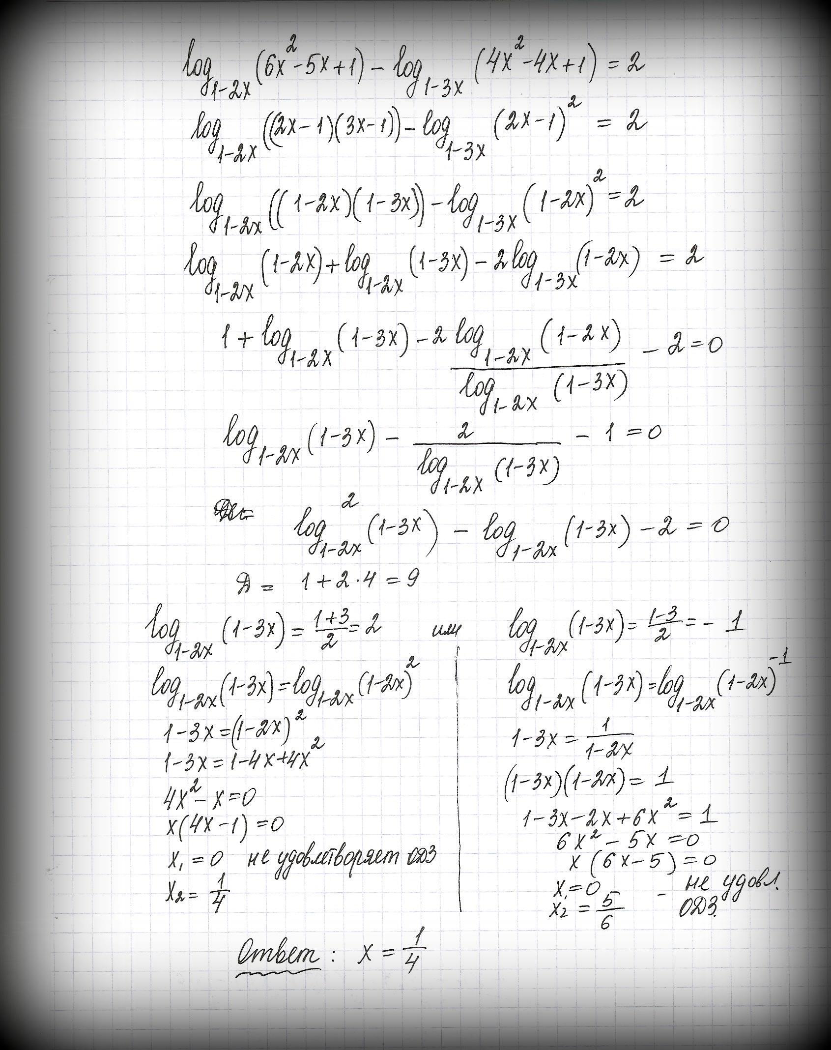
Решить логарифмическое уравнение. 57 баллов

Приложения:

Ответы

Ответ дал: tamarabernukho
2

Ответ:

х=0.25

Объяснение:

===========================

Приложения:
Вас заинтересует