помогите пожалуйста.
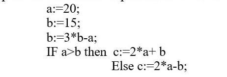
Определите значение переменной c. Ответ запишите в виде целого числа
Приложения:
Ответы
Ответ дал:
1
Ответ: c = 15
Объяснение:
a = 20;
b = 3 * b - a = 45 - 20 = 25
Объяснение:
a = 20;
b = 3 * b - a = 45 - 20 = 25
Вас заинтересует
2 года назад
2 года назад
2 года назад
3 года назад
3 года назад
9 лет назад