• Предмет: Геометрия
  • Автор: KozlovaPolina
  • Вопрос задан 2 года назад

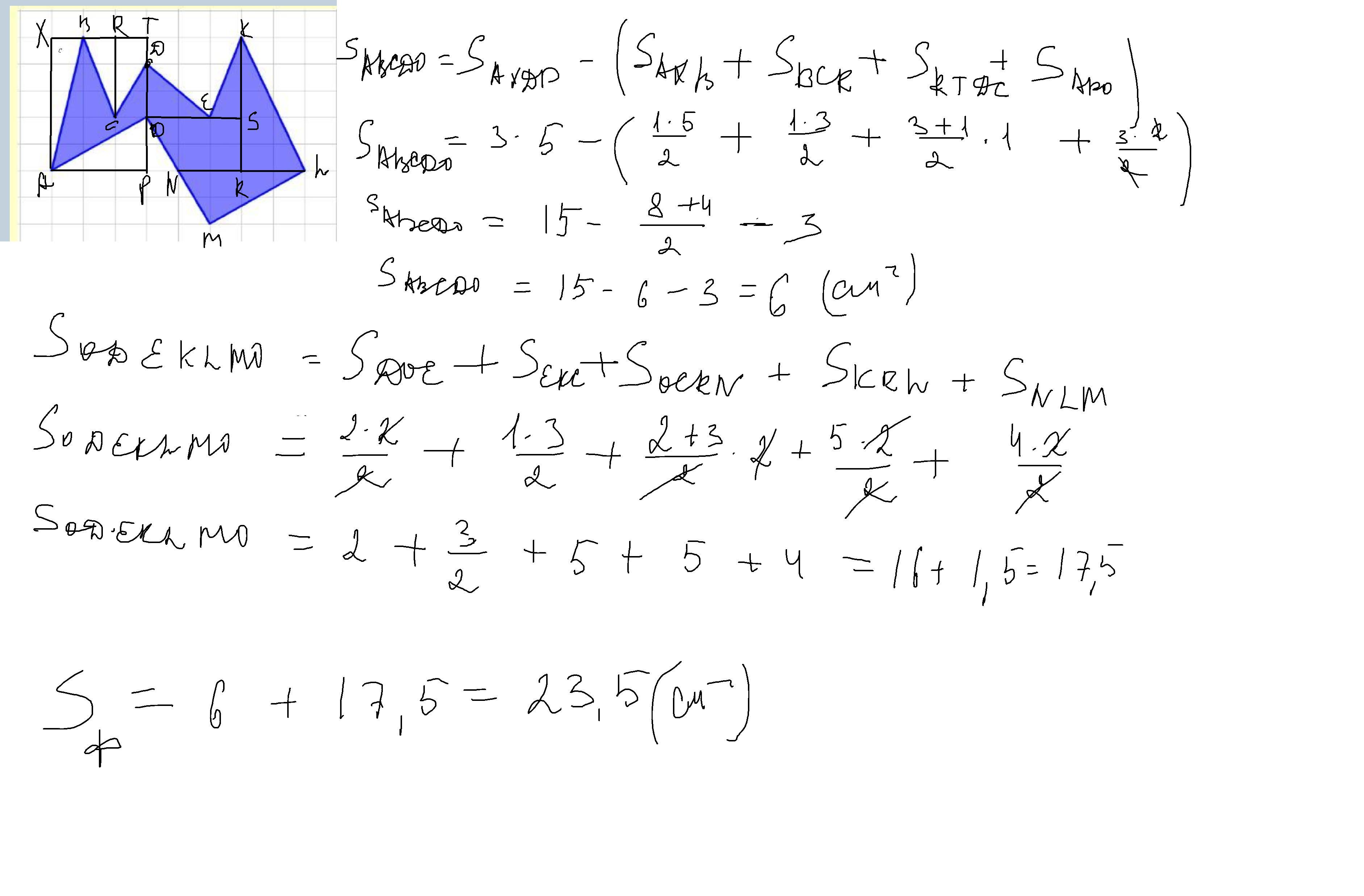
Найдите площадь закрашенной фигуры, если площадь одной клетки равна 1 см2.

Приложения:

Ответы

Ответ дал: VitalikMaksymchuk
0

Ответ:

S=23,5 см²

Объяснение:

............

Приложения:
Ответ дал: vikll
0

Ответ:

Объяснение:

Найдите площадь закрашенной фигуры, если площадь одной клетки равна 1 см2.

Приложения:
Вас заинтересует