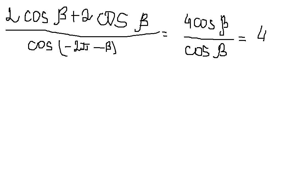
Помогите прошу!!! Вопрос жизни и смерти 2cos(-пи-B)-2sin(-пи/2+B)дробь cos (b-2пи)
Приложения:

bhbyfpbybyf:
а можно поподробне
Ответы
Ответ дал:
2
Ответ:
+++++++++++++++++++++++++++++++++
Объяснение:
Приложения:

Ответ дал:
1
Ответ:
Вот, надеюсь понятно написала
Приложения:

Вас заинтересует
1 год назад
1 год назад
1 год назад
3 года назад
8 лет назад
8 лет назад