• Предмет: Алгебра
  • Автор: danilkhudyakov2004
  • Вопрос задан 2 года назад

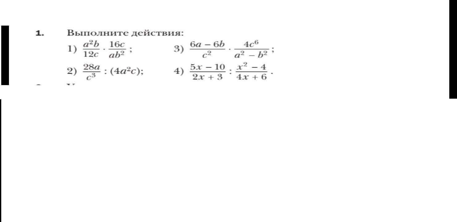
решите 1 номер очень нужно, на фотке.

Приложения:

Ответы

Ответ дал: Mirage86
1

I hope this helps you

Приложения:

danilkhudyakov2004: Did you give a decision right away?
Mirage86: do you mean are answers correct?
Вас заинтересует