• Предмет: Алгебра
  • Автор: danilkhudyakov2004
  • Вопрос задан 2 года назад

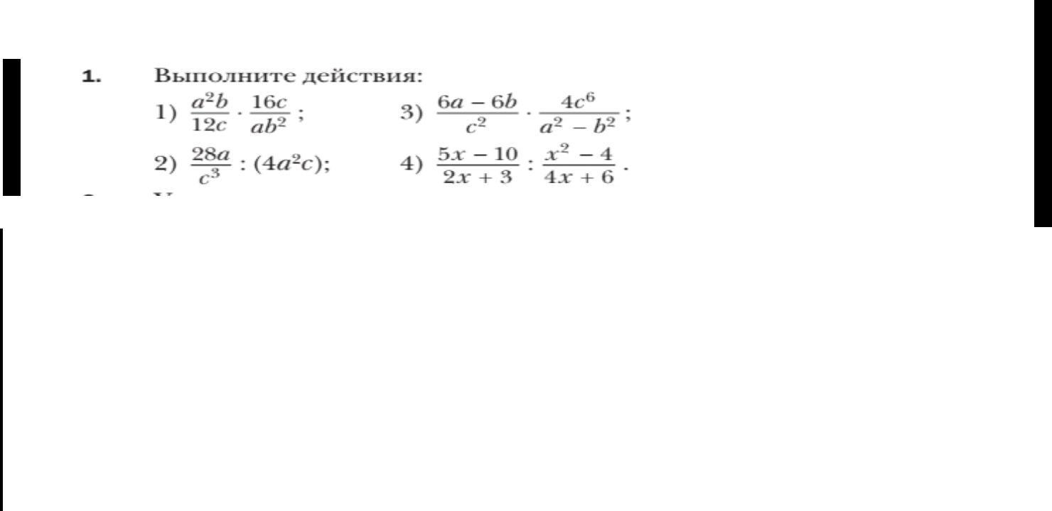
Решите 1 номер очень вас прошу, на фотке.

Приложения:

Ответы

Ответ дал: Universalka
0

1)\frac{a^{2}b}{12c}*\frac{16c}{ab^{2}}=\frac{a*4}{3*b}=\frac{4a}{3b}\\\\2)\frac{28a}{c^{3}}:(4a^{2}c)=\frac{28a}{c^{3}}*\frac{1}{4a^{2}c}=\frac{7}{ac^{4}}\\\\3)\frac{6a-6b}{c^{2}}*\frac{4c^{6}}{a^{2}-b^{2}}=\frac{6(a-b)}{c^{2}}*\frac{4c^{6}}{(a-b)(a+b)}=\frac{24c^{4}}{a+b}\\\\4)\frac{5x-10}{2x+3}:\frac{x^{2}-4}{4x+6}= \frac{5(x-2)}{2x+3}*\frac{2(2x+3)}{(x-2)(x+2)}=\frac{10}{x+2}

Вас заинтересует