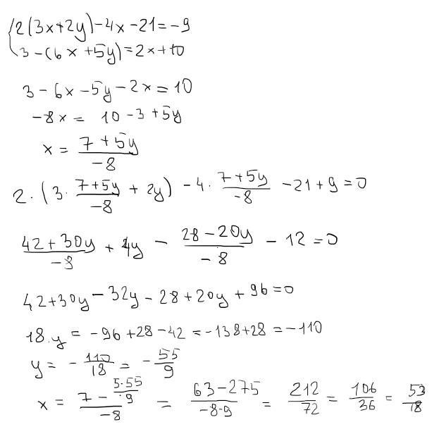
2(3х+2у) - 4х - 21 = -9
3 - (6х+5у)=2х+10
решите систему уравнение(вставьте знак системы в решение пожалуйста)
Ответы
Ответ дал:
1
Ответ:см файл прикрепленный
Объяснение:
Приложения:
Вас заинтересует
2 года назад
2 года назад
2 года назад
3 года назад
3 года назад
9 лет назад
9 лет назад