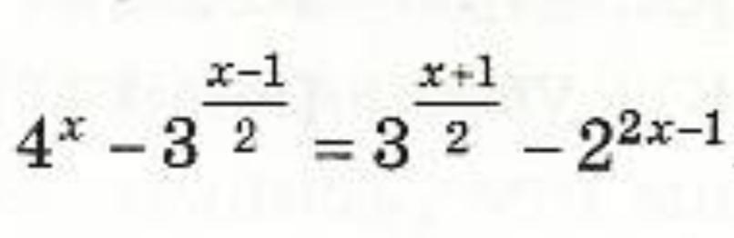
помогите пожалуйста, 4^(x)-3^(x-1/2)=3(x+1/2)-2^2x-1
Приложения:

Simba2017:
ответ будет с логарифмом...
Ответы
Ответ дал:
1
Решение приложено
=============================================================
Приложения:

Вас заинтересует
1 год назад
1 год назад
3 года назад
3 года назад
8 лет назад