• Предмет: Математика
  • Автор: arkadiysudakov00
  • Вопрос задан 2 года назад

Помогите решить пожалуйста.лучше с подробным расписание решения

Приложения:

Ответы

Ответ дал: Helper211
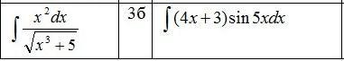
1

Ответ:

1) \frac{2}{3}\sqrt{x^3+5}+C

2) (4x+3)(-\frac{cos5x}{5})+\frac{4}{25} sin5x+C

Пошаговое объяснение:

1)

\int {\frac{x^2dx}{\sqrt{x^3+5}}}=  \frac{1}{3}\int {\frac{d(x^3+5)}{\sqrt{x^3+5}}}=\frac{1}{3}\int {d(x^3+5)(x^3+5)^{-\frac{1}{2}}}=\frac{2}{3}\sqrt{x^3+5}+C

2)

\int {(4x+3)sin5xdx}

Для нахождения интеграла нужно использовать формулу интегрирования по частям:

\int {udv}=uv- \int{vdu}

где u=4x+3 , dv=sin5xdx

Нужно найти дифференциал du, используя du=udx, вычислить v при помощи v=\int1\cdot dv и подставить du=4dx и v=\frac{-cos5x}{5}

\int {(4x+3)sin5xdx}=(4x+3)(-\frac{cos5x}{5})-\int {-\frac{cos5x}{5}4dx}=(4x+3)(-\frac{cos5x}{5})+\frac{4}{5} \int {cos5xdx}=(4x+3)(-\frac{cos5x}{5})+\frac{4}{5}\cdot \frac{1}{5} \int {cos5xd(5x)}=(4x+3)(-\frac{cos5x}{5})+\frac{4}{25} sin5x+C


arkadiysudakov00: Во втором задании если честно,не до конца понял после чего надо писать ответ ? после +C в конце ?
Helper211: Последнее выражение после последнего знака равенства является ответом (в котором мы произвели интегрирование и соответственно в результате этого появилась константа С).
Helper211: Дальнейшие алгебраические преобразования на ваше усмотрение.
arkadiysudakov00: А это 100% правильно решение ?)
Helper211: Да
arkadiysudakov00: Помогите решить другие мои примеры по данной тематике.буду благодарен.
Вас заинтересует