• Предмет: Математика
  • Автор: IVAN9884
  • Вопрос задан 2 года назад

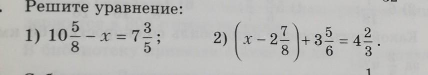
решите уровнение пожжжжжжж​

Приложения:

Ответы

Ответ дал: jekadva
1

Ответ:

Пошаговое объяснение:

1)

x = 10 5/8 - 7 3/5

x = 10 25/40 - 7 24/40

x = 3 1/40

============

2)

x - 2 7/8 = 4 2/3 - 3 5/6

x - 2 7/8 = 4 4/6 - 3 5/6

x - 2 7/8 = 5/6

x = 5/6 + 2 7/8

x = 20/24 + 2 21/24

x = 2 41/24

x = 3 17/24

Вас заинтересует