• Предмет: Математика
  • Автор: Ruuі
  • Вопрос задан 2 года назад

Помогите
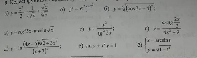
Найдите производную

Приложения:

Ответы

Ответ дал: NNNLLL54
3

1)\; \; y=\frac{x^2}{2}-\frac{1}{\sqrt{x}}+\frac{\sqrt{x}}{\sqrt[3]{x}}=\frac{1}{2}\cdot x^2-x^{-1/2}+x^{1/6}\\\\y'=x+\frac{1}{2}x^{-3/2}+\frac{1}{6}x^{-\frac{5}{6}}=x+\frac{1}{2\sqrt{x^3}}+\frac{1}{6\sqrt[6]{x^5}}\\\\\\2)\; \; y=e^{2x-x^3}\\\\y'=e^{2x-x^3}\cdot (2-3x^2)\\\\\\3)\; \; y=\sqrt[5]{(cos7x-4)^2}\\\\y'=\frac{2}{5}\cdot (cos7x-4)^{-3/5}\cdot (-sin7x)\cdot 7=-\frac{14\cdot sin7x}{5\, \sqrt[5]{(cos7x-4)^3}}

4)\; \; y=ctg^35x\cdot arcsin\sqrt{x}\\\\y'=3\, ctg^25x\cdot (-\frac{1}{sin^25x})\cdot 5\cdot arcsin\sqrt{x}+ctg^35x\cdot \frac{1}{\sqrt{1-x}}\cdot \frac{1}{2\sqrt{x}}

5)\; \; y=\frac{x^3}{tg^22x}\\\\y'=\frac{3x^2\cdot tg^22x-x^3\cdot 2\, tg2x\cdot \frac{1}{cos^22x}\cdot 2}{tg^42x}=\frac{3x^2\cdot tg2x-4x^3\cdot \frac{1}{cos^22x}}{tg^32x}=\\\\=\frac{cos2x\cdot (3x^2\cdot cos2x\cdot sin2x-4x^3)}{sin^32x}=\frac{x^2\cdot cos2x\cdot (1,5\cdot sin4x-4x)}{sin^32x}

6)\; \; y=\frac{arctg\frac{2x}{3}}{4x^2+9}\\\\y'=\frac{1}{(4x^2+9)^2}\cdot \Big (\frac{1}{1+\frac{4x^2}{9}}\cdot \frac{2}{3}\cdot (4x^2+9)-arctg\frac{2x}{3}\cdot 8x\Big )=\\\\=\frac{1}{(4x^2+9)^2}\cdot \Big (6-8x\cdot arctg\frac{2x}{3}\Big )\\\\7)\; \; y=ln\frac{(4x-5)\sqrt[3]{2+3x^2}}{(x+7)^5}\\\\y'=\frac{(x+7)^5}{(4x-5)\sqrt[3]{2+3x^2}}\cdot \frac{1}{(x+7)^{10}}\cdot \Big ((4\, \sqrt[3]{2+3x^2}+(4x-5)\cdot \frac{1}{3}\cdot (2+3x^2)^{-\frac{2}{3}}\cdot 6x)\cdot (x+7)^5-\\\\-(4x-5)\sqrt[3]{2+3x^2}\cdot 5(x+7)^4\Big )

8)\; \; siny+x^2y=1\\\\cosy\cdot y'+2x\cdot y+x^2\cdot y'=0\\\\y'\cdot (cosy+x^2)=-2xy\\\\y'=-\frac{2xy}{cosy+x^2}\\\\\\7)\; \; \left \{ {{x=arcsint} \atop {y=\sqrt{1-t^2}}} \right.\\\\x'_{t}=\frac{1}{\sqrt{1-t^2}}\; \; ,\; \; \; y'_t}=\frac{-2t}{2\sqrt{1-t^2}}=-\frac{t}{\sqrt{1-t^2}}\\\\y'_{x}=\frac{y'_{t}}{x'_{t}}=-\frac{t}{\sqrt{1-t^2}}:\frac{1}{\sqrt{1-t^2}}=-t=-sinx

Вас заинтересует