• Предмет: Математика
  • Автор: Annmaf
  • Вопрос задан 2 года назад

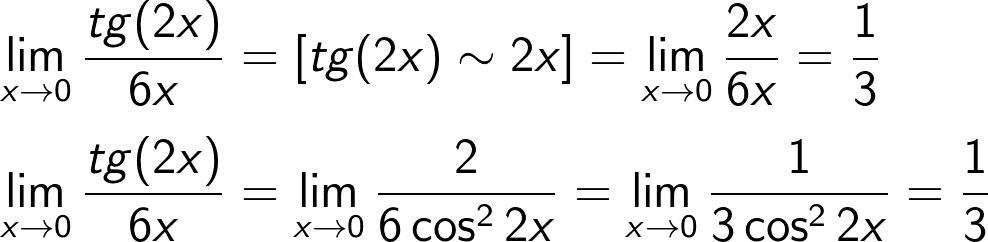
Lim tg 2x
x->0 ———
6x

Ответы

Ответ дал: moboqe
1

Ответ:

{1\over 3}

Пошаговое объяснение:

Приложения:
Вас заинтересует