Ответы
                                            Ответ дал: 
                                                                                    
                                        
                                            
                                                
                                                
                                                
                                                    1
                                                
                                            
                                        
                                    Ответ:
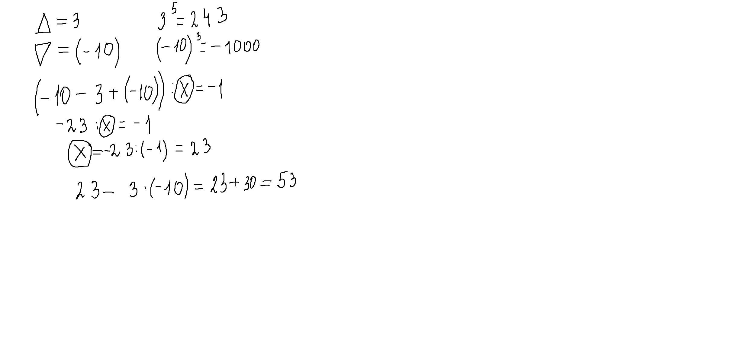
вместо ? знака надо поставить 53
Пошаговое объяснение:
Приложения:
                    
                            
                    tanyapol68:
                    Больше спасибо)
                
            
                    
                    пожалуйста
                
            
                                            Ответ дал: 
                                                                                    
                                        
                                            
                                                
                                                
                                                
                                                    1
                                                
                                            
                                        
                                    наверное вот так :/
файл !!!
Приложения:
                    
                            
                    
                    вы хотя бы сделали проверку для первой строчки,попробуйте 48,6*48,6*48,6*48,6*48,6 разве получится 243?Там между числами знак "*" а не "+".Задание сделано неверно.
                
            
                    
                    не буду спорить, чтт ваш вариант верен :/
                
            Вас заинтересует
                
                        1 год назад
                    
                
                        1 год назад
                    
                
                        3 года назад
                    
                
                        3 года назад