• Предмет: Алгебра
  • Автор: Аноним
  • Вопрос задан 2 года назад

привести многочлен к стандартному виду,и объясните как такое решать​

Приложения:

Ответы

Ответ дал: shuxratbekuzakbayev
2

Ответ:

1) -27a в пятой степени b  2) -8a в четвертой степени b

Объяснение:

надо перемножить числа с числами, буквы с буквами


Аноним: и где объяснение?
Аноним: в первом нету цифр,только одна
shuxratbekuzakbayev: а во втором есть
shuxratbekuzakbayev: мой ответ должен быть правильным
Аноним: причем тут второе?Я сейчас о первом
shuxratbekuzakbayev: ну в первом нету значит. Если знаешь че сам не решаешь
Ответ дал: TheDeformaZz
2

Ответ:

Объяснение:

привести многочлен к стандартному виду - значит сделать так,чтобы в нём не оказалось подобных членов

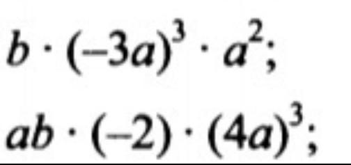
b * (-3a)^3 * a^2

раскрываем скобку

b * (-27a^3)  * a^2

-b * 27a^3 * a^2

-27a^5 b (подобных членов нет)

ab * (-2) * (4a)^3

раскрываем скобку

-ab * 2 * 64a^3

-128a^4 b (подобных членов нет)


Аноним: откуда вы третью получили то
TheDeformaZz: вы не проходили степени?
Аноним: проходили
Аноним: это тут причем?
TheDeformaZz: мы 3 возводим в 3 степень
TheDeformaZz: получаем 27
TheDeformaZz: это не понятно?
Аноним: не понятно
TheDeformaZz: 3 в третьей степени - мы должны 3 умножить на 3 два раза
TheDeformaZz: 3*3*3
Вас заинтересует